Tugas meringkas B.A.B 5. Desain jaringa dalam rantai pasokan
Tujuan Pembelajaran
- Memahami peran desain jaringan dalam rantai pasokan.
- Mengidentifikasi faktor yang mempengaruhi keputusan dalam desain jaringan rantai pasokan.
- Mengembangkan kerangka/framework untuk membuat keputusan desain jaringan.
- Gunakan optimisasi untuk keputusan lokasi fasilitas dan alokasi kapasitas.
5.1 Peran desain jaringan dalam rantai pasokan
Keputusan
desain jaringan rantai pasokan meliputi penugasan peran
fasilitas; lokasi manufaktur, penyimpanan, atau fasilitas transportasi
yang berhubungan; dan alokasi kapasitas dan pasar untuk setiap
fasilitas. Keputusan desain jaringan rantai pasokan diklasifikasikan
sebagai berikut:
- Facility role (peran fasilitas): Peran apa yang harus setiap fasilitas mainkan? Proses apa yang dijalankan di setiap fasilitas?
- Facility location (lokasi fasilitas): Di mana fasilitas harus terletak?
- Capacity location (alokasi kapasitas): Berapa banyak kapasitas harus dialokasikan untuk setiap fasilitas?
- Market and supply allocation (alokasi pasar dan pasokan): pasar Apa yang harus setiap fasilitas melayani? Sumber yang pasokan harus memberi makan setiap fasilitas?
5.2 Faktor yang mempengaruhi desain jaringan keputusan
Faktor strategis
Strategi
bersaing sebuah perusahaan memiliki dampak yang signifikan terhadap
keputusan desain jaringan dalam rantai pasokan. Perusahaan yang berfokus
pada kepemimpinan biaya cenderung untuk menemukan lokasi dengan biaya
terendah untuk fasilitas manufaktur mereka, bahkan jika itu berarti
lokasi jauh dari pasar yang mereka layani.
Contoh
yang berhasil menerapkan harga rendah adalah Foxconn dan Flextronics
sebuah pabrik elektronik. Dengan cara menempatkan pabrik pada negara
dengan biaya rendah seperti China. Berbeda dengan perusahaan yang
berfokus pada keresponsifan, mereka cenderung memilih fasilitas yang
dekat dengan pasar dengan memilih lokasi dengan harga tinggi contohnya
Zara pabrik di Spanyol dan Portugal.
Faktor teknologi
Karakteristik
teknologi produksi yang tersedia memiliki dampak yang signifikan
terhadap keputusan desain jaringan. Jika teknologi produksi menampilkan
skala ekonomi yang signifikan maka beberapa lokasi berkapasitas tinggi
paling efektif. Untuk pabrik yang membutuhkan investasi yang besar
contohnys psbrik chip komputer membangun fasilitas dengan kapasitas
besar. Sedangkan untuk perusahaan dengan harga fasilitas rendah dan
tetap maka lebih memilih membangun banyak pabrik pada area lokal.
Contohnya pabrik pembotolan Coca-Cola yang tersebar di seluruh dunia
untuk menekan/mengurangi biaya transportasi.
Faktor ekonomi makro
Faktor
ekonomi makro termasuk pajak, tarif, nilai tukar/kurs, dan biaya
pengiriman yang tidak internal untuk sebuah perusahaan
perorangan. Seperti perdagangan global yang meningkat, memberikan
pengaruh yang signifikan pada faktor keberhasilan atau kegagalan
jaringan rantai pasokan ekonomi makro. Dengan demikian, sangat penting
bahwa perusahaan mengambil faktor-faktor ini ketika membuat keputusan
desain jaringan.
- Tarif dan insentif pajak
Tarif
mengacu pada setiap biaya/bea yang harus dibayar ketika produk dan/atau
peralatan dipindahkan melintasi batas internasional, negara, atau
kota. Tarif memiliki pengaruh yang kuat dalam keputusan lokasi dalam
rantai pasokan. Insentif pajak adalah pengurangan pada tarif atau pajak
yang negara-negara, negara bagian, dan kota-kota sering berikan untuk
mendorong perusahaan-perusahaan untuk menempatkan fasilitas mereka di
daerah tertentu. Negara-negara berkembang sering membuat zona
perdagangan bebas di mana bebas bea dan tarif selama produksi digunakan
terutama untuk ekspor.
Hal
ini menciptakan insentif yang kuat bagi perusahaan global untuk
mendirikan pabrik di negara-negara ini untuk dapat memanfaatkan biaya
tenaga kerja yang rendah. Sejumlah besar negara berkembang juga
menyediakan insentif pajak tambahan berdasarkan pelatihan, makanan,
transportasi, dan fasilitas lain yang ditawarkan untuk tenaga
kerja. Tarif juga dapat bervariasi berdasarkan tingkat produk
teknologi. Banyak negara juga menempatkan persyaratan minimum pada
konten lokal dan batas impor untuk membantu mengembangkan produsen
lokal. Kebijakan tersebut menyebabkan perusahaan-perusahaan global untuk
mendirikan fasilitas lokal dengan sumber dari pemasok lokal.
- Nilai tukar/kurs dan risiko permintaan
Fluktuasi
nilai tukar/kurs adalah umum dan memiliki dampak yang signifikan pada
keuntungan dari setiap rantai pasokan yang melayani pasar global. Risiko
nilai tukar/kurs dapat ditangani dengan menggunakan instrumen keuangan
yang membatasi atau lindung nilai dalam menghadapi kerugian akibat
fluktuasi. Dirancang sesuai dengan jaringan rantai pasokan akan tetapi
menawarkan kesempatan untuk mengambil keuntungan dari fluktuasi nilai
tukar/kurs dan meningkatkan keuntungan. Cara yang efektif untuk
melakukan ini adalah dengan membangun kapasitas lebih dalam jaringan dan
membuat kapasitas tersebut fleksibel sehingga dapat digunakan untuk
memasok pasar yang berbeda. Fleksibilitas ini memungkinkan perusahaan
untuk bereaksi terhadap fluktuasi nilai tukar/kurs dengan mengubah arus
produksi dalam rantai suplai untuk memaksimalkan keuntungan. Perusahaan
juga harus memperhitungkan kemungkinan fluktuasi permintaan yang
disebabkan oleh perubahan dalam perekonomian negara-negara yang berbeda.
- Biaya pengiriman dan bahan bakar
Fluktuasi
biaya pengiriman dan bahan bakar memiliki dampak yang signifikan pada
keuntungan dari setiap rantai pasokan global. Cara terbaik untuk
menangani fluktuasi tersebut dengan harga lindung nilai di pasar
komoditas atau menandatangani kontrak jangka panjang yang sesuai.
Ketika
merancang jaringan rantai pasokan, perusahaan harus memperhitungkan
fluktuasi nilai tukar/kurs, permintaan, serta biaya pengiriman dan bahan
bakar.
Faktor politik
Stabilitas
politik negara yang dipertimbangkan memainkan peran penting dalam
pilihan lokasi. Perusahaan lebih memilih untuk mencari fasilitas di
negara-negara yang stabil secara politis di mana aturan-aturan
perdagangan dan kepemilikan didefinisikan dengan baik. Sementara risiko
politik sulit untuk dihitung, ada beberapa indeks, seperti Indeks Risiko
Politik global (Global Political Risk Index/GPRI), yang perusahaan
dapat gunakan ketika berinvestasi di negara berkembang. GPRI dievaluasi
oleh perusahaan konsultan (Eurasia Group) dan bertujuan untuk mengukur
kapasitas suatu negara untuk menahan guncangan atau krisis bersama empat
kategori: pemerintah, masyarakat, keamanan, dan ekonomi.
Faktor infrastruktur
Ketersediaan
infrastruktur yang baik merupakan prasyarat penting untuk menemukan
fasilitas di daerah tertentu. Infrastruktur yang buruk menambah biaya
melakukan bisnis pada lokasi tertentu. Elemen infrastruktur merupakan
kunci yang dipertimbangkan selama desain jaringan dimana meliputi
ketersediaan tempat dan tenaga kerja, kedekatannya dengan terminal
transportasi, layanan kereta api, bandara serta pelabuhan, akses jalan
raya, kemacetan, dan utilitas lokal.
Faktor kompetitif
Perusahaan
harus mempertimbangkan strategi, ukuran, dan lokasi pesaing ketika
merancang jaringan rantai pasokan mereka. Sebuah keputusan mendasar yang
perusahaan buat adalah apakah untuk menemukan fasilitas mereka dekat
dengan atau jauh dari pesaing. Bentuk persaingan dan faktor-faktor
seperti bahan baku atau ketersediaan tenaga kerja mempengaruhi keputusan
ini.
- Eksternalitas positif antara perusahaan
Eksternalitas
positif terjadi ketika kolokasi dari beberapa perusahaan menguntungkan
mereka semua. Eksternalitas positif menyebabkan lokasi pesaing dekat
satu sama lain. Sebagai contoh, toko ritel cenderung untuk ditemukan
dekat satu sama lain karena hal itu meningkatkan permintaan secara
keseluruhan, sehingga menguntungkan semua pihak. Dengan ditempatkan
bersama-sama di mall, toko ritel yang bersaing membuat pelanggan lebih
nyaman, yang membutuhkan satu kali perjalanan ke satu lokasi untuk
menemukan segala sesuatu yang mereka cari.
- Ditempatkan untuk memecah pasar
Ketika
tidak ada eksternalitas positif, perusahaan ditempatkan untuk dapat
menangkap kemungkinan terbesar dari pangsa pasar. Ketika perusahaan
tidak mengontrol harga tetapi bersaing pada jarak dari pelanggan, mereka
dapat memaksimalkan pangsa pasar dengan menempatkan perusahaan dekat
satu sama lain dan memecah pasar. Mempertimbangkan situasi di mana
pelanggan secara seragam terletak di sepanjang ruas garis antara 0 dan 1
dan dua perusahaan bersaing berdasarkan jarak mereka dari pelanggan
seperti yang ditunjukkan pada Gambar 5-1.

Seorang
pelanggan pergi ke perusahaan yang lebih dekat dan pelanggan yang
berjarak sama dari dua perusahaan terbagi rata di antara mereka. Jika
total permintaan adalah 1, perusahaan 1 ditempatkan di titik a, dan
perusahaan 2 ditempatkan pada titik 1- b maka permintaan di dua
perusahaan, d1 dan d2 adalah sebagai berikut

Kedua
perusahaan memaksimalkan pangsa pasar mereka jika mereka bergerak lebih
dekat satu sama lain dan terletak pada a = b = 1/ 2. Jika perusahaan
bersaing pada harga dan pelanggan memikirkan biaya transportasi, mungkin
optimal untuk kedua perusahaan untuk terletak terpisah sejauh mungkin,
dengan perusahaan 1 pada titik 0 dan perusahaan 2 pada titik 1.
Ditempatkan jauh dari satu sama lain meminimalkan kompetisi harga dan
membantu perusahaan-perusahaan membagi pasar dan memaksimalkan
keuntungan.
Waktu respon pelanggan dan adanya lokal
Perusahaan
yang menargetkan pelanggan yang menghargai waktu respon yang singkat
harus mencari lokasi dekat dengan mereka. Pelanggan tidak mungkin untuk
datang ke toko jika mereka harus melakukan perjalanan jarak jauh untuk
sampai ke sana. Dengan demikian baik untuk jaringan toko dengan memiliki
banyak toko tersebar di daerah sehingga sebagian besar orang menemukan
toko serba ada dekat dengan mereka. Berbeda dengan pelanggan yang
berbelanja dalam jumlah besar maka tidak peduli dengan jarak jauh untuk
mendapatkan barang.
Biaya logistik dan fasilitas
Biaya
logistik dan fasilitas yang timbul dalam perubahan rantai pasokan
terjadi karena perubahan jumlah fasilitas, lokasi, dan alokasi
kapasitas. Perusahaan harus mempertimbangkan persediaan, transportasi,
dan biaya fasilitas saat merancang jaringan rantai pasokan mereka. Biaya
persediaan dan fasilitas meningkat karena jumlah fasilitas dalam rantai
pasokan meningkat. Biaya transportasi berkurang seiring jumlah
fasilitas meningkat. Jika jumlah fasilitas meningkatkan ke titik di mana
masuk skala ekonomi hilang, maka biaya transportasi meningkat.
Desain
jaringan rantai pasokan juga dipengaruhi oleh transformasi yang terjadi
pada setiap fasilitas. Ketika ada penurunan yang signifikan dalam berat
atau volume bahan atau karena hasil pengolahan, mungkin lebih baik
untuk menempatkan fasilitas lebih dekat dengan sumber pasokan daripada
pelanggan. Total biaya logistik adalah jumlah dari biaya persediaan,
transportasi, dan fasilitas. Fasilitas dalam jaringan rantai pasokan
setidaknya harus sama dengan jumlah yang meminimalkan total biaya
logistik. Sebuah perusahaan dapat meningkatkan jumlah fasilitas di luar
titik ini untuk meningkatkan waktu respon kepada pelanggan. Keputusan
ini dibenarkan jika kenaikan pendapatan dari peningkatan respon melebihi
peningkatan biaya dari fasilitas tambahan.
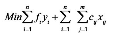
5.3 Kerangka untuk desain jaringan keputusan
Tujuan
ketika merancang jaringan rantai pasokan adalah untuk memaksimalkan
keuntungan perusahaan sementara memuaskan kebutuhan pelanggan dalam hal
permintaan dan keresponsifan. Untuk merancang sebuah jaringan yang
efektif, manajer harus mempertimbangkan semua faktor yang dijelaskan
pada gambar 5.2.

Tahap I: Menentukan strategi/desain rantai pasokan
Tujuan
dari tahap pertama desain jaringan adalah untuk menentukan luas desain
rantai pasokan perusahaan. Ini termasuk menentukan tahap-tahap dalam
rantai pasokan dan apakah setiap fungsi rantai pasokan akan dilakukan
in-house/internal atau outsourcing/menggunakan jasa pihak ketiga. Tahap I
dimulai dengan definisi yang jelas tentang strategi bersaing perusahaan
sebagai sekumpulan kebutuhan pelanggan yang merupakan tujuan untuk
rantai pasokan puaskan. Strategi rantai pasokan kemudian menentukan
kemampuan apa yang harus dimiliki jaringan rantai pasokan untuk
mendukung strategi bersaing.
Selanjutnya,
manajer harus meramalkan kemungkinan evolusi persaingan global dan
apakah pesaing di setiap pasar merupakan pemain lokal atau
global. Manajer juga harus mengidentifikasi kendala pada modal yang
tersedia dan apakah pertumbuhan akan dicapai dengan mengakuisisi
fasilitas yang ada, membangun fasilitas baru, atau
kemitraan. Berdasarkan strategi bersaing perusahaan, menghasilkan
strategi rantai pasokan, analisis kompetisi, setiap skala ekonomi atau
ruang lingkup, dan kendala apapun, manajer harus menentukan desain
rantai pasokan yang luas bagi perusahaan.
Tahap II: Menentukan konfigurasi fasilitas regional
Tujuan
dari tahap kedua desain jaringan adalah untuk mengidentifikasi pada
daerah mana fasilitas akan terletak, peran potensi mereka, dan perkiraan
kapasitas mereka. Sebuah analisis tahap II dimulai dengan perkiraan
permintaan berdasarkan negara atau wilayah. Perkiraan tersebut harus
mencakup ukuran permintaan dan penentuan homogenitas atau variabilitas
kebutuhan pelanggan di wilayah yang berbeda. Persyaratan homogen
mendukung fasilitas konsolidasi besar, sedangkan persyaratan yang
berbeda-beda di negara-negara mendukung fasilitas fleksibel atau lebih
kecil, terlokalisasi, fasilitas khusus.
Langkah
berikutnya adalah bagi manajer untuk mengidentifikasi apakah skala
ekonomi atau ruang lingkup dapat memainkan peran penting dalam
mengurangi biaya, mengingat tentang teknologi produksi yang
tersedia. Jika skala ekonomi atau ruang lingkup yang signifikan, mungkin
lebih baik untuk memiliki beberapa fasilitas yang melayani banyak
pasar.
Selanjutnya,
manajer harus mengidentifikasi risiko permintaan, nilai tukar dan
politik yang terkait dengan pasar regional. Mereka juga harus
mengidentifikasi tarif regional, persyaratan untuk produksi lokal,
insentif pajak, dan pembatasan setiap ekspor atau impor untuk setiap
pasar. Tujuannya adalah untuk merancang sebuah jaringan yang
memaksimalkan laba setelah pajak. Manajer harus mengidentifikasi pesaing
di masing-masing daerah dan membuat kasus untuk apakah fasilitas perlu
terletak dekat atau jauh dari fasilitas pesaing. Waktu respon yang
diinginkan untuk setiap pasar dan biaya logistik pada tingkat agregat di
masing-masing daerah juga harus diidentifikasi.
Tahap III: Pilihlah sekumpulan tempat potensial yang diinginkan
Tujuan
Tahap III adalah untuk memilih satu set lokasi potensial yang
diinginkan dalam setiap wilayah di mana fasilitas harus berada. Tempat
harus dipilih berdasarkan pada analisis ketersediaan infrastruktur untuk
mendukung metodologi produksi yang diinginkan. Persyaratan
infrastruktur keras termasuk ketersediaan pemasok, jasa transportasi,
komunikasi, utilitas, dan fasilitas pergudangan. Kebutuhan infrastruktur
lunak termasuk ketersediaan tenaga kerja terampil, omset tenaga kerja,
dan penerimaan masyarakat untuk bisnis dan industri.
Tahap IV: Pilihan lokasi
Tujuan
dari Tahap IV adalah untuk memilih dari antara lokasi potensial, lokasi
yang tepat dan alokasi kapasitas untuk setiap fasilitas. Jaringan ini
dirancang untuk memaksimumkan keuntungan total, memasukkan perhitungkan
margin yang diharapkan dan permintaan di setiap pasar, berbagai biaya
logistik dan fasilitas, serta pajak dan tarif di setiap lokasi.
5.4 Model untuk lokasi fasilitas dan alokasi kapasitas
Tujuan
seorang manajer ketika menemukan fasilitas dan mengalokasikan kapasitas
seharusnya untuk memaksimalkan profitabilitas keseluruhan jaringan
rantai pasokan yang dihasilkan sementara menyediakan pelanggan dengan
responsif yang tepat. Pendapatan berasal dari penjualan produk,
sedangkan biaya timbul dari fasilitas, tenaga kerja, transportasi,
bahan, dan persediaan. Keuntungan perusahaan juga dipengaruhi oleh pajak
dan tarif.
Seorang
manajer harus mempertimbangkan banyak kemungkinan selama desain
jaringan. Misalnya, membangun banyak fasilitas untuk melayani pasar
lokal mengurangi biaya transportasi dan menyediakan waktu respon yang
cepat, tetapi meningkatkan fasilitas dan biaya persediaan yang harus
dikeluarkan oleh perusahaan. Manajer menggunakan model desain jaringan
dalam dua situasi. Pertama, model ini digunakan untuk memutuskan pada
lokasi mana fasilitas akan dibangun dan menentukan kapasitas yang akan
ditugaskan pada setiap fasilitas. Kedua, model ini digunakan untuk
menetapkan permintaan saat ini untuk fasilitas yang tersedia dan
mengidentifikasi jalur sepanjang produk akan diangkut. Dalam kedua
kasus, tujuannya adalah untuk memaksimalkan keuntungan sementara
memuaskan kebutuhan pelanggan. Informasi berikut idealnya tersedia dalam
membuat keputusan desain:
- Lokasi dari sumber pasokan dan pasar
- Lokasi dari tempat fasilitas potensial
- Peramalan/perkiraan permintaan oleh pasar
- Fasilitas, tenaga kerja, dan biaya material per tempat
- Biaya transportasi antara setiap pasangan tempat
- Biaya persediaan per tempat dan sebagai fungsi dari kuantitas
- Harga jual produk di berbagai daerah
- Pajak dan tarif
- Waktu respon yang diinginkan dan faktor layanan lainnya
Tahap II: Model optimasi jaringan
Selama
tahap II dari kerangka desain jaringan (lihat Gambar 5-2), seorang
manajer menganggap permintaan daerah, tarif, skala ekonomi, dan biaya
faktor agregat untuk menentukan daerah mana fasilitas akan ditempatkan.
Langkah pertama adalah untuk mengumpulkan data dalam bentuk yang dapat
digunakan untuk kuantitatif model. Permintaan tahunan untuk
masing-masing lima wilayah ditampilkan dalam sel B9: F9. Sel B4: F8
mengandung variabel produksi, persediaan, dan biaya transportasi
(termasuk tarif dan bea) yang dihasilkan di satu wilayah untuk memenuhi
permintaan di masing-masing daerah individual. Semua biaya dalam ribuan
dolar. Perhatikan bahwa data yang dikumpulkan pada tahap ini berada pada
tingkat yang cukup agregat.

Ada
biaya tetap serta biaya variabel/berubah yang terkait dengan fasilitas,
transportasi, dan persediaan pada setiap fasilitas. Biaya tetap adalah
biaya yang dikeluarkan tidak peduli berapa banyak yang diproduksi atau
dikirim dari fasilitas. Biaya variabel/berubah adalah biaya yang
dikeluarkan sebanding dengan kuantitas yang diproduksi atau dikirim dari
fasilitas yang diberikan. Biaya fasilitas, transportasi, dan persediaan
umumnya menampilkan skala ekonomi, dan biaya marjinal menurun dengan
jumlah yang diproduksi di fasilitas meningkat.
SunOil
mempertimbangakan 2 jenis ukuran pabrik pada setiap tempat. Pabrik
kapasitas rendah dapat menghasilkan 10 juta unit per tahun, sedangkan
pabrik berkapasitas tinggi dapat menghasilkan 20 juta unit per tahun,
seperti yang ditunjukkan masing-masing pada sel H4: H8 dan J4:
J8. Pabrik berkapasitas tinggi menunjukkan beberapa skala ekonomi dan
memiliki biaya tetap kurang dari dua kali biaya tetap pabrik
berkapasitas rendah, ditunjukkan dalam sel I4: I8.
Model lokasi pabrik berkapasitas
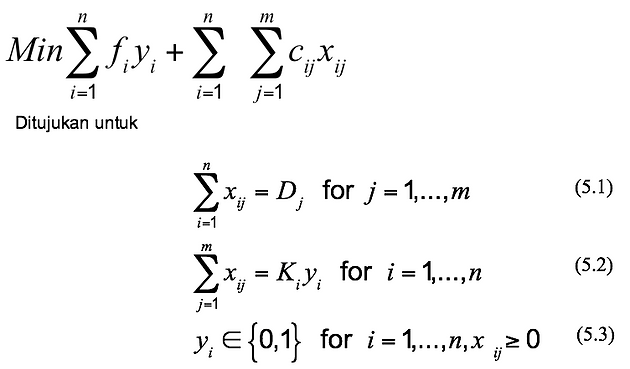
Model optimisasi jaringan lokasi pabrik berkapasitas membutuhkan inputan sebagai berikut:
- n = jumlah lokasi/kapasitas pabrik potensial (setiap tingkat kapasitas akan dihitung sebagai lokasi terpisah)
- m = jumlah pasar atau poin permintaan
- Dj = permintaan tahunan dari pasar j
- Ki = kapasitas potensial dari pabrik i
- fi = biaya tahunan tetap menjaga pabrik i tetap buka
- cij = biaya produksi dan pengiriman satu unit dari pabrik i ke pasar j (biaya meliputi produksi, persediaan, transportasi, dan tarif)
Tujuan
tim rantai pasokan adalah untuk memutuskan desain jaringan yang
memaksimalkan keuntungan setelah pajak. Sehingga model berfokus dalam
meminimalkan biaya dalam memenuhi permintaan global.
Hal ini dapat dimodifikasi dengan memasukkan keuntungan setelah pajak. Dengan variabel keputusan sebagai berikut:
- yi = 1 jika pabrik i terbuka, 0 jika tidak
- xij = kuantitas yang dikirim dari pabrik i ke pasar j
Masalahnya kemudian dirumuskan sebagai program mixed integer/integer campuran sebagai berikut:

Fungsi
tujuan meminimalkan total biaya (variabel + tetap) untuk pengaturan dan
operasi jaringan. Kendala dalam Persamaan 5.1 mensyaratkan bahwa
permintaan di setiap pasar regional puas. Kendala dalam Persamaan 5.2
menyatakan bahwa tidak ada pabrik yang dapat menyediakan lebih dari
kapasitasnya. Kendala dalam Persamaan 5.3 memberlakukan bahwa setiap
pabrik baik terbuka (yi = 1) atau tertutup (yi = 0). Solusinya
mengidentifikasi pabrik yang akan tetap terbuka, kapasitas mereka, dan
alokasi permintaan regional untuk pabrik ini.
Model
tersebut diselesaikan menggunakan alat Solver di Excel (lihat
spreadsheet Gambar 5-3 sampai 5-7). Mengingat data, langkah berikutnya
dalam Excel adalah untuk mengidentifikasi sel-sel yang sesuai dengan
masing-masing variabel keputusan, seperti yang ditunjukkan pada Gambar
5-4. Sel B14: F18 sesuai dengan variabel keputusan x ij dan menentukan
jumlah yang dihasilkan di daerah pasokan dan dikirim ke daerah
permintaan. Sel G14: G18 mengandung variabel keputusan y i sesuai dengan
tanaman-kapasitas rendah, dan sel-sel H14: H18 mengandung variabel
keputusan y i sesuai dengan tanaman berkapasitas tinggi. Awalnya, semua
variabel keputusan ditetapkan menjadi 0.

Langkah
berikutnya adalah untuk membangun sel-sel untuk kendala dalam Persamaan
5.1 dan 5.2 dan fungsi objektif. Sel-sel kendala dan fungsi obyektif
ditunjukkan pada Gambar 5-5. Sel B22: B26 mengandung keterbatasan
kapasitas dalam Persamaan 5.2, dan sel B28: F28 berisi permintaan
kendala dalam Persamaan 5.1. Langkah selanjutnya adalah menggunakan data
untuk meminta pada Solver, seperti yang ditunjukkan pada Gambar
5-6. Dengan solver, yang tujuannya adalah untuk meminimalkan total biaya
di sel B31. Variabel berada di sel B14: H18. Kendalanya adalah sebagai
berikut:

Dalam
kotak dialog parameter solver, pilih Simplex LP dan kemudian klik pada
Solve untuk mendapatkan solusi yang optimal, seperti yang ditunjukkan
pada Gambar 5-7. Dari Gambar 5-7, tim rantai pasokan menyimpulkan bahwa
jaringan dengan biaya terendah adalah yang memiliki fasilitas yang
terletak di Amerika Selatan (sel H15 = 1), Asia (sel H17 = 1), dan
Afrika (sel H18=1). Pabrik di Amerika Selatan memenuhi Amerika Utara
permintaan (B15 sel), sedangkan permintaan Eropa dipenuhi dari pabrik di
Asia (sel D17) dan Afrika (sel D18).

Tahap III: Model lokasi gravity/gravitasi
Selama
tahap III (lihat Gambar 5-2), manajer mengidentifikasi lokasi potensial
di setiap daerah mana perusahaan telah memutuskan untuk mencari
pabrik. Model lokasi Gravity bisa berguna ketika mengidentifikasi lokasi
geografis yang cocok di suatu daerah. Model gravitasi digunakan untuk
menemukan lokasi yang meminimalkan biaya transportasi bahan baku dari
pemasok dan menyediakan barang jadi ke pasar.

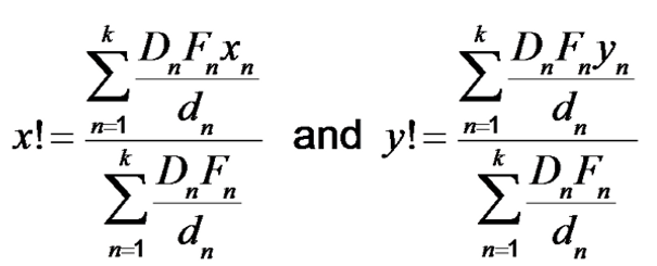
Koordinat
lokasi, permintaan di setiap pasar, pasokan yang diperlukan dari
masing-masing bagian tanaman, dan biaya pengiriman untuk setiap sumber
pasokan atau pasar ditunjukkan pada Tabel 5-1. Inputan dasar untuk model
ini adalah sebagai berikut:
- xn, yn: koordinat lokasi baik pasar atau sumber pasokan
- Fn: biaya pengiriman satu unit (unit bisa menjadi sepotong, palet, truk atau ton) untuk satu mil antara fasilitas dan pasar atau sumber pasokan
- Dn: kuantitas untuk dikirim antara fasilitas dan pasar atau sumber pasokan n
Jika
(x, y) adalah lokasi yang dipilih untuk fasilitas, jarak dn antara
fasilitas dilokasi (x,y) dan sumber pasokan n adalah sebagai berikut:




Model gravitasi juga dapat diselesaikan dengan menggunakan prosedur iterasi berikut:

- Untuk setiap sumber pasokan atau pasar n, mengevaluasi d n sebagaimana didefinisikan dalam Persamaan 5.4.
- Mendapatkan lokasi baru (x’, y’) untuk fasilitas, dimana
- Jika lokasi baru (x’, y’) hampir sama dengan (x, y) berhenti. Jika tidak, set (x, y) = (x’, y’) dan kembali ke langkah 1.
Tahap IV: Jaringan model optimisasi
Selama
Tahap IV (lihat Gambar 5-2), manajer memutuskan pada lokasi dan
kapasitas alokasi untuk setiap fasilitas. Ketika merancang jaringan,
baik keputusan lokasi dan alokasi dibuat bersama-sama. Kapasitas pabrik,
permintaan pasar, variabel produksi dan biaya transportasi per seribu
unit dikirimkan, dan biaya tetap per bulan pada setiap pabrik
ditunjukkan pada Tabel 5-2.

Mengalokasikan permintaan untuk fasilitas produksi
Dari
Tabel 5-2 kita menghitung bahwa TelecomOne memiliki kapasitas produksi
total 71.000 unit per bulan dan permintaan total 32.000 unit per bulan,
sedangkan HighOptic memiliki kapasitas produksi 51.000 unit per bulan
dan permintaan 24.000 unit per bulan. Setiap tahun, manajer di kedua
perusahaan harus memutuskan bagaimana mengalokasikan permintaan untuk
fasilitas produksi mereka karena perubahan permintaan dan biaya.
Masalah
alokasi permintaan dapat diselesaikan dengan menggunakan model alokasi
permintaan. Model ini membutuhkan inputan sebagai berikut:
- n = jumlah lokasi pabrik
- m = jumlah pasar atau poin permintaan
- Dj = permintaan tahunan dari pasar j
- Ki = kapasitas pabrik i
- cij = biaya produksi dan pengiriman satu unit dari pabrik i ke pasar j (biaya termasuk produksi, persediaan, dan transportasi)
Tujuannya
adalah untuk mengalokasikan permintaan dari pasar yang berbeda untuk
berbagai pabrik untuk meminimalkan total biaya fasilitas, transportasi,
dan persediaan. Mendefinisikan variabel keputusan:
- xij = kuantitas dikirim dari pabrik i ke pasar j
Masalahnya dirumuskan sebagai program linear berikut:
Dengan
alokasi permintaan seperti yang ditunjukkan pada Tabel 5-3, TelecomOne
mendapatkan biaya variabel bulanan $ 14.886.000 dan biaya tetap bulanan $
13.950.000, dengan total biaya bulanan sebesar $ 28.836.000. HighOptic
menimbulkan biaya variabel bulanan dari $ 12.865.000 dan biaya tetap
bulanan sebesar $ 8.500.000, dengan total biaya bulanan sebesar $
21.365.000. Manajemen yakin bahwa manfaat yang signifikan akan terjadi
jika dua jaringan digabung dengan tepat. Hal ini telah ditetapkan n tim
rantai upasokantuk mempelajari jaringan untuk perusahaan gabungan dan
mengidentifikasi pabrik yang bisa ditutup.

Mengingat
bahwa pajak dan bea tidak bervariasi antara lokasi, tim rantai pasokan
memutuskan untuk mencari pabrik dan kemudian mengalokasikan permintaan
ke pabrik-pabrik terbuka untuk meminimalkan total biaya fasilitas,
transportasi, dan persediaan. Tentukan keputusan berikut variabel:
- yi = 1 jika pabrik i terbuka, 0 jika tidak
- xij = kuantitas dikirim dari pabrik i ke pasar j
Ingat bahwa kendala ini kemudian dirumuskan sebagai program mixed integer/integer gabungan sebagai berikut:

Langkah
pertama adalah mengatur model solver untuk menginputkan biaya,
permintaan dan kapasitas informasi seperti pada gambar 5-9.

Kemudian
mengatur sel berdasarkan persamaan 5.1 dan 5.2 seperti terlihat pada
gambar 5-10. Dimana sel B29 berhubungan dengan batasan untuk pabrik di
Baltimore. Batasan/masalah memerlukan sel untuk lebih besar atau sama
dengan 0, sedangkan pada sel pembatas permintaan harus sama dengan 0.

Tujuan pengukuran total biaya tetap dan variable dari rantai pasokan
dievaluasi pada sel B32. Selanjutnya dapat dilihat pada gambar 5-11.
Dengan menggunakan solver tujuannya adalah untuk meminimalkan total
biaya pada sel B32. Pembatasnya adalah sebagai berikut:

Dengan parameter solver, pilih Simplex LP dan klik Solve untuk
mendapatkan solusi optimal seperti pada gambar 5-12. Dari gambar
tersebut tim menyimpulkan bahwa tindakan optimal adalah untuk
TelecomOptic menutup pabriknya di Salt Lake City dan Wichita namun
mempertahankan pabrik di Baltimore, Cheyenne dan Memphis tetap terbuka.


Menempatkan pabrik: Model lokasi berkapasitas dengan sumber tunggal
Dalam
beberapa kasus, perusahaan ingin merancang jaringan rantai pasokan di
mana pasar dipasok hanya dari satu pabrik, disebut sebagai satu
sumber. Model lokasi pabrik dibahas sebelumnya membutuhkan beberapa
modifikasi untuk mengakomodasi kendala ini. Variabel keputusan yang
didefinisikan ulang sebagai berikut:
- yi = 1 jika pabrik terletak di tempat i, 0 sebaliknya
- xij = 1 jika pasar j dipasok oleh pabrik i, 0 sebaliknya
Masalahnya dirumuskan sebagai program bilangan bulat berikut:


Jaringan
optimal TelecomOptic ditampilkan pada table 5-4. Tim rantai pasokan
menyimpulkan satu sumber menambahkan sekitar $2,3 juta per bulan untuk
biaya jaringan rantai pasokan meskipun membuat koordinasi menjadi lebih
mudah memerlukan lebih sedikit fleksibilitas dari pabrik.

Menempatkan pabrik dan gudang secara bersamaan
Sebuah
bentuk yang jauh lebih umum dari model lokasi pabrik perlu
dipertimbangkan jika seluruh jaringan rantai pasokan dari pemasok kepada
pelanggan harus dirancang. Kami menganggap rantai pasokan di mana
pemasok mengirim bahan untuk pabrik-pabrik memasok kepada gudang yang
memasok pasar, seperti yang ditunjukkan pada Gambar 5-13.

Tempat
dan keputusan alokasi kapasitas harus dibuat untuk kedua pabrik dan
gudang. Kelipatan gudang dapat digunakan untuk memenuhi permintaan di
pasar, dan beberapa pabrik dapat digunakan untuk mengisi gudang. Hal ini
juga diasumsikan bahwa unit telah tepat disesuaikan sehingga satu unit
masukan dari sumber pasokan menghasilkan satu unit produk jadi. Model
membutuhkan inputan berikut:
- m = jumlah pasar atau poin permintaan
- n = jumlah lokasi pabrik potensial
- l = jumlah pemasok
- t = jumlah lokasi gudang potensial
- Dj = permintaan tahunan dari pelanggan j
- Ki = kapasitas potensi pabrik di situs saya
- Sh = kapasitas pasokan di pemasok h
- We = potensi kapasitas gudang di situs e
- Fi = biaya tetap dari lokasi pabrik di tempat i
- fe = biaya tetap dari lokasi gudang di tempat e
- chi = biaya pengiriman satu unit dari sumber pasokan h ke pabrik i
- cie = biaya produksi dan pengiriman satu unit dari pabrik i ke gudang e
- cej = biaya pengiriman satu unit dari gudang e kepada pelanggan j
Tujuannya
adalah untuk mengidentifikasi tanaman dan gudang lokasi, serta jumlah
dikirimkan antara berbagai titik, yang meminimalkan total biaya tetap
dan variabel. Tentukan keputusan berikut variabel:
- yi = 1 jika pabrik terletak di tempat i, 0 sebaliknya
- ye = 1 jika gudang terletak di tempat e, 0 sebaliknya
- xej = kuantitas dikirim dari gudang e ke pasar j
- xie = kuantitas dikirim dari pabrik di tempat i ke gudang e
- xhi = kuantitas dikirim dari pemasok h ke pabrik di tempat i
Masalahnya dirumuskan sebagai program bilangan bulat berikut:

Ditujukan dengan persyaratan sebagai berikut:

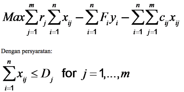
Akuntansi pajak, tarif, dan kebutuhan pelanggan
Model
desain jaringan harus terstruktur sehingga jaringan rantai pasokan yang
dihasilkan memaksimalkan keuntungan setelah tarif dan pajak sementara
memenuhi persyaratan layanan pelanggan. Model dibahas sebelumnya dapat
dimodifikasi untuk memaksimalkan keuntungan akuntansi untuk pajak,
bahkan ketika pendapatan adalah dalam mata uang yang berbeda. Jika
rj adalah pendapatan dari penjualan satu unit di pasar j, tujuannya
fungsi model lokasi pabrik berkapasitas dapat dimodifikasi menjadi:

5.5 Membuat desain jaringan keputusan dalam praktek
Manajer harus menjaga isu-isu berikut dalam pikiran ketika membuat keputusan desain jaringan untuk rantai pasokan.
Jangan meremehkan umur fasilitas
Hal
ini penting untuk memikirkan jangka panjang konsekuensi dari keputusan
fasilitas karena fasilitas bertahan lama dan memiliki dampak pada
kinerja perusahaan. Manajer harus mempertimbangkan tidak hanya
permintaan dan biaya masa depan tapi juga skenario di mana teknologi
dapat berubah. Jika tidak, fasilitas mungkin menjadi tidak berguna dalam
beberapa tahun.
Jangan mengabaikan implikasi budaya
Desain
keputusan jaringan mengenai fasilitas lokasi dan peran fasilitas
memiliki dampak yang signifikan pada budaya masing-masing fasilitas dan
perusahaan. Budaya di fasilitas akan dipengaruhi oleh fasilitas lain di
sekitarnya. Perancang jaringan dapat menggunakan fakta ini untuk
mempengaruhi peran fasilitas baru dan fokus orang yang bekerja di sana.
Jangan abaikan masalah kualitas hidup
Kualitas
hidup di lokasi fasilitas yang dipilih memiliki dampak yang signifikan
terhadap kinerja karena sangat berpengaruh terhadap tenaga kerja yang
tersedia dan moral nya. Di banyak contoh, sebuah perusahaan mungkin akan
lebih baik memilih lokasi dengan lebih tinggi jika memberikan kualitas
hidup yang jauh lebih baik. Kegagalan untuk melakukannya dapat memiliki
konsekuensi yang mengerikan.
Fokus pada tarif dan insentif pajak ketika menemukan fasilitas
Manajer
membuat keputusan lokasi fasilitas harus mempertimbangkan tarif dan
insentif pajak dengan hati-hati. Ketika mempertimbangkan lokasi
internasional, sangat mengherankan seberapa sering insentif pajak
mendorong pilihan lokasi, sering mengatasi faktor penggabungan semua
biaya lainnya.


Komentar
Posting Komentar